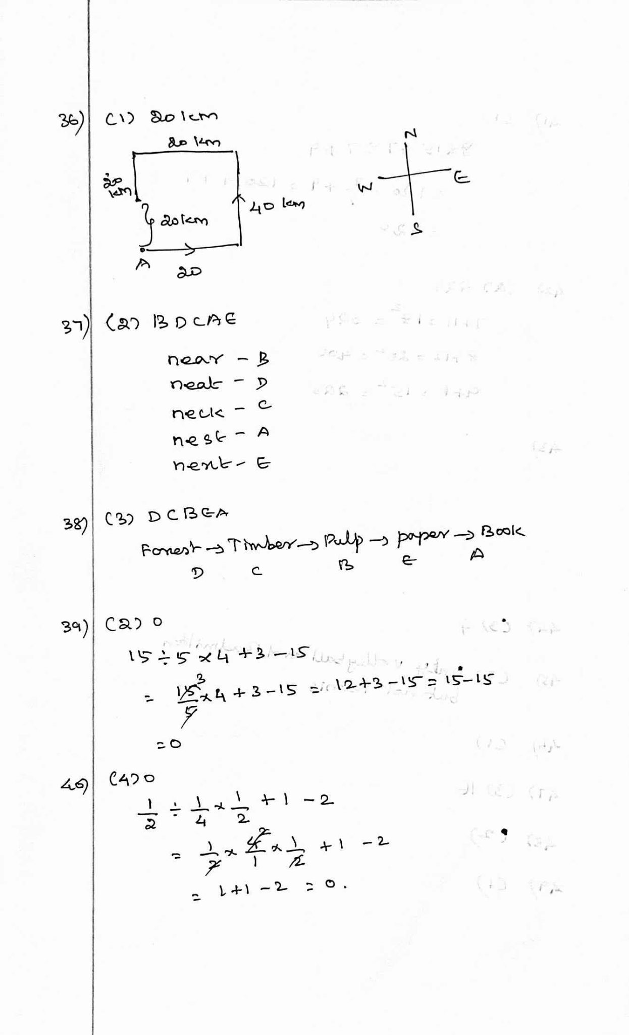
NMMS 2023 MAT Tentative Answer Key – Part 1
asiriyarseithitvm.blogspot.com வலைத்தளத்தில் 1 முதல் 12 ஆம் வகுப்பு வரையிலான அனைத்து வகுப்புகளுக்கும் கற்றல் கற்பித்தல் துணைக் கருவிகள் மற்றும் All Classes Study Materials வெளியிட்டு வருகிறோம். மாணவர்கள் மற்றும் ஆசிரியர்கள் இதனை பயன்படுத்திக் கொள்ளுமாறு அன்புடன் கேட்டுக்கொள்கிறோம்.
நன்றி
If you want more information about Study Materials and Educational Related News Please Connect with Us and Support With Us
Thank You
Dear WhatsApp Admins Add 9342934162 to receive Education Murasu Kalvi news regularly
Join Whatsapp Group - Click Here












